波普医药正在热销:
别名:3-甲基-2-氧代丁酰乙酯
英文名称:ethyl 3-methyl-2-oxobutyrate
分子式:c7h12o3
cas no.:20201-24-5
分子量:144.17
结构式:
规格:95%
用途:基础原料、有机中间体、医药中间体
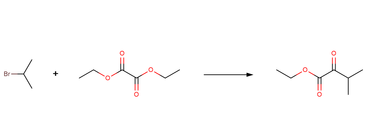
合成工艺如下:
magnesium; tetrahydrofuran; tetrahydrofuran;
reactants are commercially availlable.
angewandte chemie - international edition, vol. 53, 10, (2014), p. 2658 - 2661, angew. chem., vol. 126, 10, (2014), p. 2696 - 2699,4

feel free to call us on
025-85998075
drop us a line anytime at
,
and we’ll get back
soon.
come visit us at 南京市江宁区科学园乾德路5号